步進電機暫態(tài)(阻尼)特性的測量
步進電機的轉子作1步距角步進,則其轉子會產生振蕩而后慢慢衰減至停止,取縱軸表示角度,橫軸作為時間,轉子慢慢衰減至停止,稱為暫態(tài)(阻尼)特性。
此種測量方法采用下圖的試驗結構。

驅動電路確定激磁方式,步進電機1步進驅動。此時,步進電機安裝了電位計,其輸出波形用記憶示波器畫出,此方法能測量暫態(tài)特性。用此方法可以測量激磁相通電狀態(tài)、角度振蕩變化、轉子定位的超調量和轉子定位位置及位置的穩(wěn)定時間等,由于其結構簡單,所以被大量使用。用此方法測定兩相HB型1.8°步進電機的2相激磁與1-2相激磁的暫態(tài)特性。如下圖所示。與1-2相激磁相比,2相激磁穩(wěn)定性好,1相激磁的情形超調量大,阻尼與2相激磁情況比較,有很大的不同。

步進電機暫態(tài)(阻尼)特性的測量
1-2相驅動狀態(tài)下,為了能最佳狀態(tài)達到穩(wěn)定位置,激磁方式以2相為宜。
測量暫態(tài)特性,縱軸的角度精度要更精確的獲取,電位計用編碼器來代替,其穩(wěn)定波形可以用打印機輸出。下圖為此測量方法的穩(wěn)定波形,有兩次衰減振蕩即到達停止角度的±5%內,即到1.8°±5%讀取穩(wěn)定時間(setting TIme)。

步進電機暫態(tài)(阻尼)特性的測量
跟電位計法比較,編碼器法因編碼器慣量大的關系,需要注意穩(wěn)定時間的絕對值不同。
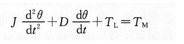
一般阻尼特性如前文《步進電機的加速、減速控制》中的下述公式所示,J、D與電機產生轉矩Kθ時,(D/√JK)(JK包含在根號內)大而得到改善,衰減振動的角速度近似(√K/√J)。

步進電機改善暫態(tài)特性的解決方法
步進電機的位置定位時,因為電機負載和轉子儲存的動能,不能立即停止,會產生超調量,反復經過設定點后停下來。此種反復振蕩延長了定位時間,有必要改善電機的阻尼和定位時間。改善的方法有安裝阻尼器和利用驅動電路及電機本身的改善等,下面將分別加以說明。
利用阻尼器的改善
帶誤差動態(tài)阻尼器的步進電機的照片。此種阻尼器是在步進電機軸的飛輪上安裝橡膠等特性裝置,使飛輪的運動滯后于轉軸的運動,利用與轉子間的振動相位差對轉子進行制動,改善暫態(tài)特性。
下圖為帶動態(tài)慣量阻尼器的步進電機暫態(tài)特性的步進響應的比較。此種吸振阻尼器不會像反相制動方法那樣,在產生超調后才制動,但也不會消除最初的超調量。
此種動態(tài)慣量阻尼器可以改善步進電機高速區(qū)域的共振引起的轉矩降低,也可以改善高速時的轉矩和響應脈沖。
步進電機暫態(tài)(阻尼)特性的測量
利用驅動電路的改善
半步進1-2相激磁的情況:阻尼以及定位時,利用2相激磁比1相激磁要好。所以兩相步進電機使用半步進驅動的1-2相激磁時,停止相采用2相激磁,阻尼會變好。
反相序制動:有關反相序制動,在前文《步進電機附加制動驅動方法:反相序激磁與最終步進延遲》已介紹。此種方法是最佳控制,即在最初的超調能抑制振動。為此介紹反相序制動用閉環(huán)回路。
下圖表示步進電機及其后軸所帶的測速機結構。
由測速機得到轉子速度,在最佳時刻作反相序制動,其反相序激磁的電路
驅動電路輸出段的結構:根據圖前文《步進電機增加動態(tài)轉矩的解決方法》中的下圖所示驅動電路輸出段結構,當功率管OFF時,尖峰吸收電路的導通,產生的制動轉矩變大。其圖中的①為制動轉矩最小的結構。在高速時的轉矩會降低,故要考慮轉矩與制動轉矩兩者狀態(tài)最佳時的驅動電路。
電機本體的改善
PM型步進電機的極異性和各向同性磁鐵的速度-轉矩特性比較在前面的《磁鐵磁化方向:各向同性與各向異性磁鐵的差異》中用下圖已經介紹了,此時的兩個電機的極異性永久磁鐵的磁通大,各向同性磁通相對小。
為這些電機在額定電壓下的速度-轉矩特性的比較。注意永久磁鐵的磁通大小或激磁電壓(電流)的大小與暫態(tài)特性。下圖為極異性磁鐵與各向同性磁鐵的步進電機在12V額定電壓下的阻尼特性的比較。
據此,定位時間方面,使用極異性磁鐵的穩(wěn)定時間長。但若降低驅動電壓(降低為8V),則如下圖所示,極異性磁鐵的穩(wěn)定時間變短。
磁鐵強的電機調整激磁電壓(電流)時,穩(wěn)定時間將變小。上圖為幾種電流的暫態(tài)特性。電流在轉子轉速大時會減小,此為受到反電勢的影響所致。各向同性磁鐵與極異性磁鐵的周期比較,后者變短,振蕩次數相同約為4,后者的穩(wěn)定時間變短。 |